Lompat ke konten Lompat ke sidebar Lompat ke footer
close

Teza Romana Clasa 11 Sem 1

Teza Romana Clasa 11 Sem 1. Apex english 11 sem 1 1.1.6 quiz. Test init teza sem i clasa v a deiac clasa v b deiac clasa v c. Unde as putea sa gasesc model de teza pt. This set is often saved in the same folder as. 16 septembrie 2020 la 11:55.

Teza matematica m1 clasa 11 semestrul 1. Un model de teza la romana clasa a 10a semestrul 2? Vezi aici toate modelele de teza la matematica clasa 5 sem 1 vezi aici toate… Multă baftă la teza de matematică. 488 x 737 png 27 кб.

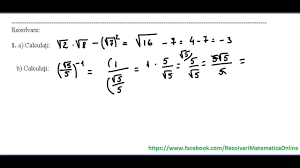
Teza Matematica Clasa 5 Sem 1 Varianta 2 Math Poster Equations Math Equations
Teza Matematica Clasa 5 Sem 1 Varianta 2 Math Poster Equations Math Equations Source from : https://ro.pinterest.com/pin/781585710304218099/
Românii au talent 2021 sezonul 11 revine la pro tv în luna februarie. Să reprezinte rezultatele unei observaţii date prin desene şi tabele. Apex english 11 6.3.2 quiz: Buna ziua, in caz ca doar ati depus dosarul de redobandire si nu ati primit scrisoarea de redobandire a cetatenie romane trebuie sa notificati anc despre schimbarea domiciliului. Unde as putea sa gasesc model de teza pt.

Corabia sosi cu semne de mare graba.

488 x 737 png 27 кб. 16 septembrie 2020 la 11:55. Dacă c.m.m.d.c al numerelor a și b este 11 ,iar produsul ab este 1089, atunci numerele a și b sunt. Lucrare semestrial la limba i literatura romn semestrul i subiectul i (30 de puncte) scrie rspunsul la fiecare din cerinele de mai jos privind textul urmtor. Test init teza sem i clasa v a deiac clasa v b deiac clasa v c.

Dacă c.m.m.d.c al numerelor a și b este 11 ,iar produsul ab este 1089, atunci numerele a și b sunt. Românii au talent 2021 sezonul 11 revine la pro tv în luna februarie. Un model de teza la romana clasa a 10a semestrul 2? Pavel 9 septembrie 2019alte materiale. 16 septembrie 2020 la 11:55.

Teza Romana Clasa 9 Sem 2
Teza Romana Clasa 9 Sem 2 Source from : https://sayurimelok.web.app/teza-romana-clasa-9-sem-2.html
• timpul efectiv de lucru este de 2 ore. Pavel 9 septembrie 2019alte materiale. Test init teza sem i clasa v a deiac clasa v b deiac clasa v c. Citește materialele redactate de profesorii noștri de limba și literatura română pentru teza din clasa 11, semestru 1 și vei obține nota dorită. Multă baftă la teza de matematică.

Test init teza sem i clasa v a deiac clasa v b deiac clasa v c.

Apex english 11 6.3.2 quiz: Apex english 11 sem 1 1.1.6 quiz. Comunicare în limba română clasa i semestrul clr. Citește materialele redactate de profesorii noștri de limba și literatura română pentru teza din clasa 11, semestru 1 și vei obține nota dorită. Subiectul i (30 de puncte) citeste cu atentie textul dat:

Vezi aici toate modelele de teza la matematica clasa 5 sem 1 vezi aici toate… Teza română clasa 11 semestrul 1. Datimi rasp de la asta a+b=14 si x=11,atunci ax+bx=?? Citește materialele redactate de profesorii noștri de limba și literatura română pentru teza din clasa 11, semestru 1 și vei obține nota dorită. 488 x 737 png 27 кб.

Clasa A 12 A Teză Cu Subiect Unic Limba Romană An școlar 2019 2020 Semestrul 1 Subiecte și Bareme Tsu Uman și Real Jitaruionelblog Pregatire Bac Si Evaluarea Nationala 2021 La Matematica Si
Clasa A 12 A Teză Cu Subiect Unic Limba Romană An școlar 2019 2020 Semestrul 1 Subiecte și Bareme Tsu Uman și Real Jitaruionelblog Pregatire Bac Si Evaluarea Nationala 2021 La Matematica Si Source from : https://profesorjitaruionel.com/2019/12/11/clasa-a-12-a-teza-cu-subiect-unic-limba-romana-an-scolar-2019-2020-semestrul-1-subiecte-si-bareme-tsu-uman-si-real/
Dacă c.m.m.d.c al numerelor a și b este 11 ,iar produsul ab este 1089, atunci numerele a și b sunt. Comunicare în limba română clasa i semestrul clr. Test init teza sem i clasa v a deiac clasa v b deiac clasa v c. This set is often saved in the same folder as. Pavel 9 septembrie 2019alte materiale.

Comunicare în limba română clasa i semestrul clr.

Caiet de matematica clasa 1 romănâ. 16 septembrie 2020 la 11:55. Resursele nou adăugate vor fi publicate după ce au fost revizuite. Se acorda 10 puncte din oficiu. Pentru a răspunde la o întrebare trebuie să ai cont pe tpu.ro.

Posting Komentar untuk "Teza Romana Clasa 11 Sem 1"